Вселенная Digital Humanities

вводная лекция минора "Цифровые методы в гуманитарных науках"

Даня Скоринкин, 6 февраля 2021

План на сегодня

  1. Кто я такой, кто вы такие и как мы будем общаться📱
  2. Чему вы научитесь на этом курсе 💻
  3. Вселенная Digital Humanities: что в ней делают, как и зачем? 🔭
  4. Где живут "цифровые гуманитарии" 🦄
  5. Выходные🥤

Меня зовут Даня, это я:

Я отсюда:

hum.hse.ru/digital

Кто я такой

  • Компьютерный лингвист (умею в Natural Language Processing)
  • Цифровой литературовед
    • Диссертация по цифровым подходам к исследованию «Войны и мира»
    • Со-основатель проекта rus.dracor.org
  • Программирующий гуманитарий (т.е. занимаюсь Digital Humanities)

Где и что я делаю

Теперь немного о вас!

Что будет на курсе?

Чем мы займемся на этом курсе

  • Обсудим, что меняет «погружение культуры в цифру»: какие новые способы исследования у нас появились — и что они могут дать
  • Изучим несколько методов/инструментов цифровых гуманитарных исследований
  • Вы поделаете собственные мини-исследования

Структура курса

Раньше это был полугодовой курс

'Введение в цифровые гуманитарные исследования'

Но потом...

Что будет в "части 1" (модуль 3)

Дата Тема
6 февраля Вселенная Digital Humanities: что в ней делают, как и зачем (вводная лекция, знакомство)
13 февраля Distant Reading ("Дальнее чтение") и корпусные методы вне лингвистики (лекция, практика)
Дата Тема
20 февраля Стилометрия (статистическая атрибуция авторства): почему это работает и к чему можно применить (лекция, практика в stylo)
27 февраля Стилометрия: больше практики в stylo, продвинутые возможности, (практика в stylo, техническая консультация)
6 марта Ваши презентации групповых исследований №1
Дата Тема
13 марта Сетевой анализ в гуманитарных науках (лекция, начало практики)
20 марта Сетевой анализ в гуманитарных науках продолжение практики
Зачетная неделя Ваши презентации групповых исследований №2

Некторые пары проведет Франк Фишер

Оценка за курс

0,5 * первая презентация + 0,5 * вторая презентация

Как происходит ваша работа

  • Вы объединяетесь в команды по 3-4 человека
  • И делаете мини-исследование:
    • Идея
    • Сбор данных
    • Анализ
    • Интерпретация и презентация
  • При анализе нужно применить какой-то из изученных методов (можно сразу несколько)

Исследования прошлых лет можно посмотреть

  • Тут (сетевой анализ, минор прошлого года, см. обе вкладки)
  • Тут (корпусные методы/стилометрия, минор прошлого года)
  • Тут
  • И вот тут
  • Репортажи с презенатций прошлых лет: раз, два, три

Как мы с вами будем общаться

Вопросы so far?

Теперь наконец о Digital Humanities

Потому что именно этим мы тут и будем заниматься

Зачем нужно это занятие?

  • Посмотреть, что есть внутри Digital Humanities?
  • Cистематизировать главные направления
  • Понять, куда смотреть и за чем следить
  • Понять примерный контент курса (я буду обращать внимание на то, что будем проходить мы)

Digital Humanities

или …
  • {fr} Humanités numériques
  • {es} Humanidades digitales
  • {he} מדעי הרוח הדיגיטליים
  • {it} Informatica umanistica
  • {de} Digitale Geisteswissenschaften
  • {ru} Цифровые гуманитарные исследования
  • {ru} Цифровые гуманитарные науки?
  • {ru} Цифровая гуманитаристика
  • Digital Humanities — о том

    …что могут информационные технологии в

    • филологии (литературоведении)
    • культурологии
    • исторической науке
    • ...далее везде!

    Digital Humanities

    Digital Humanities как сумма маргиналий

    Важные направления:

    1. Поиск закономерностей, "трендов" в больших массивах произведений культуры — "масштабированиe" Humanities
    2. Использование цифровых инструментов для анализа единичных произведений — "моделирование" в Humanities
    3. Визуализация и новые формы передачи гуманитарного знания — "публичные" Humanities
    4. Оцифровка культурного наследия и электронные архивы — цифровое сохранение

    "масштабированиe" Humanities

    Поиск закономерностей и "культурных трендов" в коллекциях...

    • ...художественных текстов («Distant Reading»)
    • ...любых текстов — для изучения динамики культуры и общества («Culturomics»)
    • ...медиаконтента, в т.ч. пользовательского («Cultural Analytics»)
    • ...изображений («Visual Analytics») и видео («Distant Viewing»)
    • ...музыки и звукозаписи
    • ...археологических находок
    • ...геоданных (например, исторические GIS)

    Идея "Дальнего" чтения (Distant Reading)

    “[...] we know how to read texts, now let’s learn how not to read them. Distant reading: where distance, let me repeat it, is a condition of knowledge”

    Franco Moretti. "Distant Reading".

    Пример Distant Reading в "Корпорации стиля" Ф. Моретти


    Моретти Ф. Корпорация стиля (2009; пер. с англ. Олега Собчука) // B: Моретти Ф. Дальнее чтение. Москва, 2016, стр. 248

    Женщины в заглавиях обретают фамилии


    Моретти Ф. Корпорация стиля (2009; пер. с англ. Олега Собчука) // B: Моретти Ф. Дальнее чтение. Москва, 2016, стр. 273

    «<...>героиня приобретала общественное положение, сразу отражающееся в названиях вроде «Джейн Эйр» или «Мэри Бартон». Обратите внимание, как много может быть сделано в коротких заглавиях благодаря небольшим вариациям: одно слово — и образ героини переворачивается на 180 градусов: от частного к публичному. Короткие названия были ограничением, навязанным рынком, да, но ограничение могло также стать замечательной возможностью для литературного воображения: искусство намека, сжатости — в конце концов заглавие становилось тропом».

    Пример «Distant Reading»: меньше морализма, больше экшена


    litlab.stanford.edu/LiteraryLabPamphlet4.pdf

    Пример «Distant Reading»: затихание романа


    litlab.stanford.edu/LiteraryLabPamphlet7.pdf
    Кстати, не обязательно делать Distant Reading профессиональной литературы

    Бонч-Осмоловская А. А., Орехов Б. В. Некоторые применения корпусных методов к наивной поэзии. //Статьи на случай: сборник к 50-летию Р.Г. Лейбова

    Пример «Culturomics» в Google Books


    Попробовать в Ngram Viewer

    Google Books & Culturomics

    'We constructed a corpus of digitized texts containing about 4% of all books ever printed. Analysis of this corpus enables us to investigate cultural trends quantitatively

    . We survey the vast terrain of “culturomics”, focusing on linguistic and cultural phenomena <...>'

    Michel, Jean-Baptiste; Liberman Aiden, Erez (2011). Quantitative Analysis of Culture Using Millions of Digitized Books. Science. 331 (6014): 176–82

    Пример «Culturomics» в Google Books


    Попробовать в Ngram Viewer

    Пример «Culturomics»: темы в дневнике

    • Марта Баллард, акушерка из штата Мэн, вела дневник с 1785 по 1812 год
    • За это время она приняла 816 родов и сделала около 10000 записей в дневнике
    • Историк Кэмерон Блевинс исследовал дневник количественными методами

    В т.ч. с помощью тематического моделирования


    Картинка из статьи «Депрессия, музыка и секс: из чего сделан "Нож"»

    Темы в дневнике

    • MIDWIFERY: birth deld safe morn receivd calld left cleverly pm labour fine reward arivd infant expected recd shee born patient
    • CHURCH: meeting attended afternoon reverend worship foren mr famely performd vers attend public supper st service lecture discoarst administred supt
    • DEATH: day yesterday informd morn years death ye hear expired expird weak dead las past heard days drowned departed evinn
    • GARDENING: gardin sett worked clear beens corn warm planted matters cucumbers gatherd potatoes plants ou sowd door squash wed seeds
    • SHOPPING: lb made brot bot tea butter sugar carried oz chees pork candles wheat store pr beef spirit churnd flower
    • ILLNESS: unwell mr sick gave dr rainy easier care head neighbor feet relief made throat poorly takeing medisin ts stomach

    Погода


    Blevins C. Topic Modeling Martha Ballard’s Diary

    Gardening


    Blevins C. Topic Modeling Martha Ballard’s Diary

    Кстати о дневниках

    prozhito.org

    Попытка анализа тональности корпуса "Прожито"


    Презентация команды дневников на IV Московско-тартуской школе по DH

    Cultural Analytics: эволюция летних хитов

    Cultural Analytics: популярность vs престиж


    litlab.stanford.edu/LiteraryLabPamphlet17.pdf

    Visual Analytics: 137 тыс. картин с WikiArt

    Sigaki H.Y.D., Perc M., Ribeiro H.V. History of art paintings through the lens of entropy and complexity // PNAS. 2018. Vol. 115, № 37. P. E8585–E8594.

    Меры энтропии и сложности

    Sigaki H.Y.D., Perc M., Ribeiro H.V. History of art paintings through the lens of entropy and complexity // PNAS. 2018. Vol. 115, № 37. P. E8585–E8594.

    137 тыс. картин с WikiArt

    Sigaki H.Y.D., Perc M., Ribeiro H.V. History of art paintings through the lens of entropy and complexity // PNAS. 2018. Vol. 115, № 37. P. E8585–E8594.

    137 тыс. картин с WikiArt

    Sigaki H.Y.D., Perc M., Ribeiro H.V. History of art paintings through the lens of entropy and complexity // PNAS. 2018. Vol. 115, № 37. P. E8585–E8594.

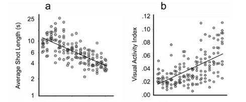
    Distant Viewing: длина и динамичность кадра


    Cutting, J. E., Brunick, K. L., Delong, J. E., Iricinschi, C., & Candan, A. (2011). Quicker, faster, darker: Changes in Hollywood film over 75 years. i-Perception, 2(6), 569–576. https://doi.org/10.1068/i0441aap

    Distant Viewing: освещенность кадра


    Cutting, J. E., Brunick, K. L., Delong, J. E., Iricinschi, C., & Candan, A. (2011). Quicker, faster, darker: Changes in Hollywood film over 75 years. i-Perception, 2(6), 569–576. https://doi.org/10.1068/i0441aap

    Кстати, и кинопостеры тоже темнеют (еще немного Cultural Analytics)

    Вопросы so far?

    "Моделирование" в Humanities

    Стилометрия

    Голоса в романе "Идиот"


    litlab.stanford.edu/LiteraryLabPamphlet7.pdf

    Сетевой анализ

    poms.ac.uk

    Сетевой анализ

    Из диссера Д.А. Скоринкина

    Сетевой анализ

    rus.dracor.org

    Чем хороша сеть (граф) как модель?

    • Универсальность применения
    • Наглядность: многое видно глазами без подсчетов и интуитивно понятно
    • Объективность: за этим «видно глазами» всегда стоят цифры

    Например, центральности в сетях

    Узел Центральность (степень, degree)
    Даня 5
    Таня 1
    Ваня 1
    Нафаня 1
    Дуня 1

    Визуализация

    Центральность по посредничеству (betweenness centrality)

    Центральность по посредничеству (betweenness centrality)

    Социальная сеть пьесы А.С. Пушкина "Борис Годунов"

    Пушкин на посылках

    Есть ли другие такие же?

    Битяговский в «Смерти Иоанна Грозного» А. К. Толстого (двойной агент)

    Калачник в «Дмитрие Самозванце» А.Н. Островского (шпион/агент Шуйского)

    Немного о Калачнике

    Калачник:Что я-то?! Я не сыщик, не доносчик;

    Я — весь народ московский; вот кто я!

    Немного о Калачнике

    «Довольно загадочной кажется фигура Калачника, темпераментно сыгранного Антоном Хомятовым: с одной стороны, это человек из народа — поборник православной веры, мститель за брата, с другой — «человек в штатском», тайный агент Шуйского, провокатор и шпион. Похоже на то, что его торговля калачами только «прикрытие». Один раз за весь спектакль мы видим лоток на его плече, да и то пустой. Калачник называет себя «народом», но он, пожалуй, ох как непрост?»

    Татьяна Семашко, На волне смуты // Политический журнал, 2.04.2007

    Битков (соглядатай/двойник Пушкина)

    2. Структура сообществ в сетях

    выход обратно на масштабирование

    Жанры пьес — и плотности сетей

    Плотность = 0.5 (3/6)      Плотность = 1 (6/6)

    Плотности комедии и трагедии отличаются

    Плотности комедий и не-комедий в RusDraCor

    Сети можно сочетать с картами (GIS)


    Проект Mapping the Republic of Letters

    Исследование потребления визуальных произведений


    Nachwuchsgruppe Hybride Narrativität

    Айтрекер

    Вопросы so far?

    Визуализация, распространиение, популяризация гуманитарного знания

    • Цифровые издания
    • GIS как метод представления исторических знаний
    • Виртуальная, дополненная, смешанная реальность (музеи, педагогика)
    • Всякая гуманитарная инфографика

    Виртуальные музеи


    виртуальные прогулки по ГМИИ им. Пушкина

    Музеи с дополненной реальностью

    VR в DH начали обсуждать на конференциях

    Геоинформатика (GIS) и гуманитарии


    The Digital Atlas of Roman and Medieval Civilizations

    Геоинформатика (GIS) и гуманитарии


    ORBIS

    GIS и гуманитарии

    Al Thurayya

    GIS и гуманитарии

    Фольклорный архив БашГУ

    GIS и гуманитарии

    voinaimir.com/info/

    Цифровые издания

    Проект World of Dante

    Цифровые издания

    Проект Europeana Regia

    Цифровые издания

    Проект Манускрипт

    Оцифровка культурного наследия

    • Цифровые архивы
    • Форматы и стандарты представления гуманитарных данных в машиночитаемом виде (TEI, базы данных, LOD)
    • Краудсорсинг для оцифровки
    • OCR (оптическое распознавание символов)
    • 3D-модели культурных памятников

    OCR (оптическое распознавание символов)

    Оцифровка рукописного текста

    См. Transcribus

    Краудсорсинговая оцифровка

    Стандарт машиночитаемого текста в гуманитарных областях

    Text Encoding Initiative (TEI/XML)

    Цифровая консервация в археологии

    3D-моделирование объектов культурного наследия

    Цифровая эпиграфика (сейчас пытается зародиться в Вышке)

    короче, целая вселенная очень разных штук

    А стоит ли вообще говорить про какие-то отдельные Digital Humanities?

    Вот какие определения Digital Humanities дают сами цифровые гуманитарии

    Using computational tools to do the work of the humanities

    John Unsworth, Dean of Libraries, University Librarian, Professor of English University of Virginia

    The use of digital tools and methods in humanities study and dissemination.

    Geoffrey Rockwell, Professor of Philosophy and Humanities Computing at the University of Alberta, Canada

    DH is inquiry enabled by digital methodologies or modes of research, dissemination, design, preservation, and communication that rely on algorithms, software, and/or the Internet network for processing data.

    Tanya Clement, Associate Professor, Department of English, University of Texas

    В этом же духе определение из Википедии:

    Digital humanities (DH) is an area of scholarly activity at the intersection of computing or digital technologies and the disciplines of the humanities.

    wikipedia.org

    Но никто же не говорит про «цифровую физику»?


    Kremer J. et al. Big Universe, Big Data: Machine Learning and Image Analysis for Astronomy // IEEE Intell. Syst. 2017. Т. 32. № 2. С. 16–22.

    В гуманитарных науках при переходе к цифровым методам происходит более глубокий сдвиг

    Digital Humanities is the integration of sophisticated, empirical techniques utilizing tools and technologies typically associated with practical sciences into the study of traditional humanities questions. It represents a more exploratory and less quantitative approach than social sciences in the use of such tools, but it also represents ambitious attempts to model nuanced human wisdom in ways that, like early flying machines, are beautiful, quite impractical and often fail.

    Elijah Meeks, Apple (ранее Digital Humanities at Stanford)

    Это качественный сдвиг

    Это качественный сдвиг

    • Гуманитарии почти не говорили на формальных языках — теперь нужна дискретность
    • У гуманитариев много неоднозначности — компьютеры требуют однозначности
    • Гуманитарии редко производили "продукты" и "проекты" — в Digital Humanities это стандарт

    DH is at its best when it embraces the digital not simply as a means to the traditional ends of scholarship, but when it transforms the nature of what humanists do. The digital allows for scholars, librarians, archivists, and curators to engage much more directly with each other and the public. Further, it allows them not simply to write for each other, but to build things for everyone.

    Trevor Owens, Library of Congress

    The Digital Humanities is both a field with a discernable set of academic lineages, practices, and methodologies and a vague umbrella term used to describe the application of digital technology to traditional humanistic inquiry. Ultimately, what sets DH apart from many other humanities fields is its methodological commitment to building things as a way of knowing.

    Matthew K. Gold, Associate Professor of English and Digital Humanities, CUNY

    DIY-humanities

    We don’t just make for the humanities, we just make. [...] One of the defining features of some of the best and the brightest in the digital humanities isn’t digital per-say, it has to do with a pervasive kind of scrappyness. It’s about having a do it yourself mindset.

    Trevor Owens, Library of Congress

    DIY-humanities

    Цифровые гуманитарные науки — это область исследований, обучения и созидания, созданная на стыке компьютерных и гуманитарных наук.

    ru.wikipedia.org

    A kind of scholarship that requires design, management, negotiation, and collaboration.

    Jeffrey Schnapp

    «Коммунальность» Digital Humanities

    Коммунальные определения Digital Humanities

    It is both a methodology and a community.

    Jason Farman, University of Maryland

    A “community of practice” (to borrow Etienne Wenger’s phrase) whereby the learning, construction, and sharing of humanities knowledge is undertaken with the application of digital technologies in a reflexive, theoretically informed, and collaborative manner.

    Kathryn E. Piquette, Humboldt-Universität zu Berlin

    Коммунальные определения Digital Humanities

    The phrase [digital humanities] has use-value to the degree that it can serve as an umbrella under which to group both people and projects seeking to reshape and reinvigorate contemporary arts and humanities practices, and expand their boundaries.

    The Digital Humanities Manifesto 2.0

    Закрывая дискуссию: а нужны ли вообще определения?

    I think digital humanities, like social media, is an idea that will increasingly become invisible as new methods and platforms move from being widely used to being ubiquitous. For now, digital humanities defines the overlap between humanities research and digital tools. But the humanities are the study of cultural life, and our cultural life will soon be inextricably bound up with digital media.

    Ed Finn, Stanford University

    Digital Humanities — это просто удобный лейбл, "временная переменная"

    A name that marks a moment of transition; the current name for humanities inquiry driven by or dependent on computers or digitally born objects of study; a temporary epithet for what will eventually be called merely Humanities.

    Mark Marino, University of Southern California

    А term of tactical convenience

    Matthew Kirschenbaum, Professor of English and Digital Studies, University of Maryland

    Но не стоит недооценивать convenience!

    Типичная команда DH-проекта: математики, филологи, программисты, лингвисты, преподы, инженеры...

    Никогда бы не собралась, если бы не было "зонтика DH" ☂️

    Digital Humanities как комьюнити

    Где обитают цифровые гуманитарии?

    Журналы

    Конференции

    Соцсети

    • Twitter
    • Twitter
    • TWITTERRR1111111!!!!
    • и еще Twitter

    См. например, по хэштегу

    Есть несколько исследований Twitter-сообщества DH


    Digital Humanities on Twitter, a small-world?

      А что в России?

      • Была мощная конференция DH Russia 2017
      • Тогда официально запустилась российская ассоциация DH (входит в ADHO через EADH)
      • DH-центр и магистратура в Вышке
      • DH-центр и магистратура ИТМО
      • (лучший инстаграм в русских DH!)
      • DH-магистратура в пермской Вышке
      • DH-центр в БФУ (Калининград)
      • DH-магистратуры в ТГУ (Томск), ЮФУ (Ростов), СФУ (Красноярск)...

    А теперь ознакомительный опрос

    не на оценку!

    Напоминалка: коммуникация

    • Ссылки на презентации и записи — на странице курса: danilsko.github.io/dhminor2021
    • Ссылки + обсуждения — чат в телеграме: Кликни чтоб добавиться
    • Если вдруг не получается — можно писать на почту vaganeeva@edu.hse.ru или телеграм @NikaGaneev, Ника вас добавит

    Хороших выходных! 🎮 🥤 🏂